Professor Guru - logo

Limites e Derivadas - Lista de Exercícios 2

Lista de exercícios envolvendo limites laterais e infinitos, derivadas elementares, derivadas usando regra do produto e regra do quociente

Conrad Elber Pinheiro
Professor Guru
Atualizado em 01/08/2023

Playlist no YouTube

Clique aqui para assistir a playlist com os conteúdos desta página no YouTube 

Lista de Exercícios 2 - Limites e Derivadas

A seguir, você encontrará uma lista de exercícios contendo limites laterais, limites tendendo a infinito, derivadas de funções elementares, derivada usando a regra do produto e derivada usando a regra do quociente.  Todos os exercícios estão resolvidos em vídeo.

Calcule os limites a seguir:

exercício 1a - limites exercício 1b - limites exercício 1c - limites

Assista a vídeo aula sobre o conteúdo acima no YouTube e baixe os slides da aula em PDF

Clique aqui para assistir a vídeo aula

Resolução do Exercício 1

Clique aqui para fazer o download

Baixe os slides da vídeo aula gratuitamente em formato PDF.

Exercício 2

Calcule o limite a seguir:

exercício 2 - limite tendendo ao infinito

Assista a vídeo aula sobre o conteúdo acima no YouTube e baixe os slides da aula em PDF

Clique aqui para assistir a vídeo aula

Resolução do Exercício 2

Clique aqui para fazer o download

Baixe os slides da vídeo aula gratuitamente em formato PDF.

Exercício 3

Dada a função

exercício 3 - derivada

determine a expressão correspondente a f ' (x).

Assista a vídeo aula sobre o conteúdo acima no YouTube e baixe os slides da aula em PDF

Clique aqui para assistir a vídeo aula

Resolução do Exercício 3

Clique aqui para fazer o download

Baixe os slides da vídeo aula gratuitamente em formato PDF.

Exercício 4

Determine a primeira derivada da função a seguir:

exercício 4 - derivada

Assista a vídeo aula sobre o conteúdo acima no YouTube e baixe os slides da aula em PDF

Clique aqui para assistir a vídeo aula

Resolução do Exercício 4

Clique aqui para fazer o download

Baixe os slides da vídeo aula gratuitamente em formato PDF.

Exercício 5

Seja y = x . ln(x). Calcule y ’.

Assista a vídeo aula sobre o conteúdo acima no YouTube e baixe os slides da aula em PDF

Clique aqui para assistir a vídeo aula

Resolução do Exercício 5

Clique aqui para fazer o download

Baixe os slides da vídeo aula gratuitamente em formato PDF.

Exercício 6

Calcule a derivada da função

exercício 6 - derivada

Assista a vídeo aula sobre o conteúdo acima no YouTube e baixe os slides da aula em PDF

Clique aqui para assistir a vídeo aula

Resolução do Exercício 6

Clique aqui para fazer o download

Baixe os slides da vídeo aula gratuitamente em formato PDF.

Exercício 7

Derive a função g(x) = (x² – 1)(x³ + 4).

Assista a vídeo aula sobre o conteúdo acima no YouTube e baixe os slides da aula em PDF

Clique aqui para assistir a vídeo aula

Resolução do Exercício 7

Clique aqui para fazer o download

Baixe os slides da vídeo aula gratuitamente em formato PDF.

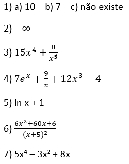
Respostas dos Exercícios

respostas dos exercícios da lista 2

 Você também pode se interessar por:

Limites e Derivadas - Lista de Exercícios 3

Regra de L'Hospital, limite lateral, derivada usando regra do produto, regra da cadeia e problemas de otimização (máximos e mínimos)

Limites e Derivadas - Lista de Exercícios 4

Limite tendendo a infinito, limite lateral, derivada de funções elementares, derivada usando regra do produto e do quociente e derivada usando a regra da cadeia 

Limites e Derivadas - Lista de Exercícios 5

Limite usando a Regra de L'Hospital, problemas de otimização, construção de gráfico usando derivadas e limites, Regra da Cadeia e do Produto, ponto de máximo, ponto de mínimo e ponto de inflexão