Professor Guru - logo

Intervalos de Confiança

Intervalos de confiança para a média, proporção, variância e desvio padrão. Como usar a tabela t-Student e a tabela Qui-Quadrado.

Conrad Elber Pinheiro
Professor Guru
Atualizado em 29/07/2023

Conteúdo da página

1. Introdução
2. Estimativa por intervalo, o nível de confiança e de significância
3. Intervalo de Confiança para a Média Populacional quando a Variância é Conhecida 
4. Intervalo de Confiança para a Média Populacional quando a Variância é Desconhecida
    4.1. A distribuição t de Student 
    4.2. Nota histórica 
    4.3. A tabela da distribuição t de Student  
5. Intervalo de Confiança para a Proporção Populacional  
6. Intervalo de Confiança para a Variância e Desvio Padrão
    6.1. A distribuição qui-quadrado  
    6.2. A tabela da distribuição qui-quadrado 
    6.3. Intervalo de confiança para a Variância 
     6.4. Intervalo de confiança para o Desvio Padrão 
7. Lista de Exercícios
Respostas dos Exercícios

Apostila sobre ​Intervalos de Confiança

Ao final desta página, você pode fazer o download gratuito da apostila sobre ​Intervalos de Confiança em formato PDF.

Playlist no YouTube

Clique aqui para assistir a playlist com os conteúdos desta página no YouTube 

1. Introdução

Neste capítulo, começaremos a estudar efetivamente a Inferência Estatística. Até agora, estudamos alguns estimadores pontuais. O problema de uma estimativa pontual é que ela raramente se iguala ao parâmetro exato (média, desvio padrão ou proporção) de uma população. Daí surge a necessidade de fazer estimativas mais significativas, especificando um intervalo de valores em uma linha de número juntamente com a afirmação de quão confiante você está de que seu intervalo contém o parâmetro populacional.

2. Estimativa por intervalo, o nível de confiança e de significância

Uma estimativa por intervalo para um parâmetro populacional é um intervalo determinado por dois números, obtidos a partir de elementos amostrais, que se espera que contenham o valor do parâmetro (populacional) com um dado nível de confiança ɣ (lê–se: “gama”). Geralmente, trabalhamos com 90% ≤ ɣ ≤ 99%. Valores menores que 90% para o nível de confiança não são utilizados, pois possuem pouca “precisão”, ou seja, a confiabilidade é muito “pequena”. Valores acima de 99%, embora consistam em uma confiança elevada, acarretam problemas de cálculo: ou obtemos intervalos muito grandes ou necessitamos de amostras muito grandes, o que pode inviabilizar a pesquisa, a coleta de dados, elevando o seu custo.

Em algumas situações, pode ser dado, ao invés do nível de confiança, o nível de significância α (lê-se: "alfa"). A relação entre eles é que

     ɣ = 1 - α 

É importante atentar para o risco do erro, quando se constrói um intervalo de confiança. Se o nível de confiança é de 95%, o risco do erro da inferência estatística será de 5%. Assim: se construíssemos 100 intervalos, baseados em 100 amostras de tamanhos iguais, poderíamos esperar que 95 desses intervalos (95% deles) iriam conter o parâmetro populacional sob estudo, enquanto cinco intervalos (5% deles) não iriam conter o parâmetro.

Para exemplificar, vamos supor θ um parâmetro populacional. Vamos admitir a seleção de 10 amostras de mesmo tamanho e um nível de confiança de 90%. A figura seguinte mostra os intervalos obtidos.

Os segmentos horizontais representam os 10 intervalos, e a reta vertical representa a localização do parâmetro θ  Nota-se que o parâmetro é fixo e que a localização do intervalo varia de amostra para amostra. Por conseguinte, podemos falar em termos da "probabilidade de o intervalo incluir θ", e não em termos da "probabilidade de  pertencer ao intervalo", já que  é fixo. O intervalo é aleatório. Na prática, somente um intervalo é construído por meio da amostra aleatória obtida. Como utilizamos uma confiança igual a 90%, perceba que apenas 9 dos 10 intervalos construídos contém o verdadeiro parâmetro θ:

esquema ilustrando intervalos de confiança de 90%

Dessa forma, podemos fazer uma interpretação genérica de um intervalo de confiança: se obtivermos várias amostras de mesmo tamanho e para cada uma calcularmos os correspondentes intervalos de confiança com coeficiente (ou nível) de confiança ɣ, esperamos que a proporção de intervalos que contenham o valor do parâmetro θ seja igual a ɣ.

Assista a vídeo aula sobre o conteúdo acima no YouTube e baixe os slides da aula em PDF

Clique aqui para assistir a vídeo aula

Introdução e conceitos de intervalos de confiança

Clique aqui para fazer o download

Baixe os slides da vídeo aula gratuitamente em formato PDF.

3. Intervalo de Confiança para a Média Populacional quando a Variância é Conhecida

Neste primeiro tópico, mostraremos a lógica para se obter um intervalo de confiança. Nos casos seguintes, a técnica é a mesma e, por isso, seremos mais breves nas explicações teóricas.

Como vimos anteriormente, a distribuição de probabilidade da média amostral é:

- para populações infinitas:

distribuição amostral das médias

- para populações finitas:

distribuição amostral das médias - populações finitas

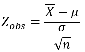
Assim, para populações infinitas, a variável normal padrão será denominada Z observado  cuja fórmula é:

fórmula do z observado (ou calculado) para a média

Para populações finitas, deve–se acrescentar o fator de correção populacional ao cálculo de Zobservado:

Fixado um nível de confiança ɣ, devemos utilizar a tabela da Normal Padrão para determinar os valores críticos da variável Z, ou seja, z crítico, conforme mostra a figura:

cálculo de z crítico na curva da normal padrão

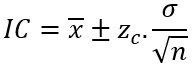
O intervalo de confiança para a média populacional é tal que:

intervalo de confiança para a média

De forma mais simples, podemos escrever que o intervalo de confiança para a média populacional, quando a variância for conhecida é dado pela fórmula:

fórmula do intervalo de confiança para a média quando a variância for conhecida

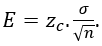
em que o erro (ou erro máximo da estimativa ou tolerância de erro) é dado pela fórmula:

fórmula do erro da estimatima em um intervalo de confiança

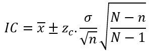
Caso se utilize o fator de correção, temos:

fórmula do intervalo de confiança para a média quando a variância for conhecida com fator de correção populacional

em que o erro (ou erro máximo da estimativa ou tolerância de erro) é dado pela fórmula:

fórmula do erro da estimatima em um intervalo de confiança com fator de correção

Tabela da Normal Padrão

Clique no botão abaixo para abrir a tabela da Normal Padrão em uma nova janela.

Ver tabela da normal padrão  

Assista a vídeo aula sobre o conteúdo acima no YouTube e baixe os slides da aula em PDF

Clique aqui para assistir a vídeo aula

População e Amostra - Introdução à Estatística

Clique aqui para fazer o download

Baixe os slides da vídeo aula gratuitamente em formato PDF.

Exemplo 1

A duração da vida de uma peça de equipamento é tal que σ=5 horas. Foram amostradas aleatoriamente 100 dessas peças, obtendo–se média de 500 horas. Desejamos construir um intervalo de confiança para a verdadeira duração média da peça com um nível de 95% de confiança.

Resolução

Inicialmente, vamos obter o valor crítico da distribuição utilizando a tabela da Normal Padrão: queremos encontrar os valores zc e –zc de modo que a probabilidade dos valores compreendidos entre zc e –zc seja igual a 95%, ou seja, ao nível de confiança. Como a curva é simétrica, temos que a área compreendida entre 0 e zc vale 95% / 2 = 47,5%. Logo, devemos buscar o valor que mais se aproxima de 0,475 na tabela:

exemplo 1 - tabela da normal padrão

Assim, percebemos que, coincidentemente, há o valor 0,475 exato, correspondendo a um valor crítico z c =1,96. Agora, basta aplicarmos a fórmula:

exemplo 1 - cálculo do intervalo de confiança

Portanto, os limites do nosso intervalo serão:

500 + 0,98 = 500,98 e

500 – 0,98 = 499,02.

Ou seja,

P(499,02 ≤ μ ≤ 500,98) = 0,95.

Ou, ainda, de maneira mais simples:

IC = [499,02 ; 500,98].

Interpretação: o intervalo [499,02 ; 500,98] contém a verdadeira duração média da peça com 95% de confiança. Isso significa que, se forem construídos intervalos dessa mesma maneira, 95% desses intervalos devem conter μ.

Assista a vídeo aula sobre o conteúdo acima no YouTube e baixe os slides da aula em PDF

Clique aqui para assistir a vídeo aula

Resolução do Exemplo 1

Clique aqui para fazer o download

Baixe os slides da vídeo aula gratuitamente em formato PDF.

Exemplo 2

Vamos considerar o exemplo anterior, mas, agora, suponha que tenhamos uma população de 1000 peças. 

Nesse caso, o intervalo para a média será:

exemplo 2 - cálculo do intervalo de confiança

Logo, o intervalo procurado é: IC = [499,07 ; 500,93].

Assista a vídeo aula sobre o conteúdo acima no YouTube e baixe os slides da aula em PDF

Clique aqui para assistir a vídeo aula

Resolução do Exemplo 2

Clique aqui para fazer o download

Baixe os slides da vídeo aula gratuitamente em formato PDF.

Exemplo 3

Suponha que os comprimentos de jacarés adultos de uma certa raça sigam o modelo Normal com média μ desconhecida e variância igual a 0,01 m². Uma amostra de dez animais foi sorteada e forneceu média 1,69 m. Obtenha uma estimativa para o parâmetro μ com uma confiança de 98%. 

Resolução

Inicialmente, devemos observar que foi dado que σ² =0,01 m². Logo,  =0,1 m.

Utilizando a tabela da normal para encontrar zc temos:

exemplo 3 - gráfico da normal padrão exemplo 3 - tabela da normal padrão

Ou seja, z c  = 2,33.

Aplicando a fórmula, temos:

exemplo 3 - cálculo do intervalo de confiança

Calculando os limites inferior e superior do IC, obtemos:

1,69 – 0,07 = 1,62  e  1,69 + 0,07 = 1,76.

Assim: IC = [1,62 ; 1,76].

Alternativamente, poderíamos escrever: P(1,62 ≤ μ ≤ 1,76) = 0,98.

Assista a vídeo aula sobre o conteúdo acima no YouTube e baixe os slides da aula em PDF

Clique aqui para assistir a vídeo aula

Resolução do Exemplo 3

Clique aqui para fazer o download

Baixe os slides da vídeo aula gratuitamente em formato PDF.

Exemplo 4

Deseja–se estimar o número médio de frases em anúncios de revistas. De estudos anteriores, sabe–se que a distribuição é Normal com desvio padrão igual a 5 frases. Quantos anúncios de revista devem ser incluídos na amostra se você quer ter 95% de confiança e não errar mais do que 1 frase da média populacional?

Resolução

Vimos que o erro é dado por

fórmula do erro para a média populacional

Para uma confiança de 95%, já vimos que, a partir da tabela da Normal, zc=1,96. Substituindo os valores temos:

cálculo do tamanho da amostra

Quando necessário, o resultado deve ser arredondado para o primeiro valor inteiro maior que o valor de n calculado.

Neste caso, n=97, ou seja, devemos incluir pelo menos 97 anúncios de revista na amostra.

Assista a vídeo aula sobre o conteúdo acima no YouTube e baixe os slides da aula em PDF

Clique aqui para assistir a vídeo aula

Resolução do Exemplo 4

Clique aqui para fazer o download

Baixe os slides da vídeo aula gratuitamente em formato PDF.

4. Intervalo de Confiança para a Média Populacional quando a Variância é Desconhecida

Quando temos pequenas amostras e não conhecemos o valor do desvio padrão populacional, construímos intervalos de confiança para a média populacional utilizando a distribuição t de Student para encontrar os valores críticos (t c) com (n–1) graus de liberdade.

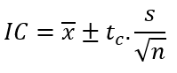
Como a variância populacional é desconhecida, deveremos utilizar a variância amostral e, consequentemente, o desvio padrão amostral (s).As fórmulas dos intervalos de confiança para a média populacional quando a variância populacional é desconhecida são:

Populações infinitas:

fórmula do intervalo de confiança para a média quando a variância é desconhecida

Populações finitas:

fórmula do intervalo de confiança para a média quando a variância é desconhecida - população finita

Tabela da t-Student

Clique no botão abaixo para abrir a tabela da t-Student em uma nova janela.

Ver tabela da t-student  

Assista a vídeo aula sobre o conteúdo acima no YouTube e baixe os slides da aula em PDF

Clique aqui para assistir a vídeo aula

Intervalo de confiança para a média quando a variância é desconhecida

Clique aqui para fazer o download

Baixe os slides da vídeo aula gratuitamente em formato PDF.

4.1. A distribuição t de Student

Possui as seguintes características:

1) A distribuição t tem a forma de sino e é simétrica em relação à média.

2) A distribuição t é uma família de curvas, cada uma determinada por um parâmetro chamado de grau de liberdade. Os graus de liberdade são o número de escolhas livres deixadas depois que uma amostra estatística tal como  é calculada. Quando usamos a distribuição t para estimar a média da população, os graus de liberdade são iguais ao tamanho da amostra menos um: g.l. = n – 1.

3) A área total sob a curva é 1 ou 100%.

4) A média, moda e mediana da distribuição t são iguais a zero.

5) Conforme os graus de liberdade aumentam, a distribuição t se aproxima da distribuição Normal. Para mais de 30 graus de liberdade, a distribuição t está tão próxima da Normal, que podemos trabalhar diretamente com a tabela da Normal Padrão (isso é apenas uma referência e pode variar conforme a tabela que se está utilizando).

comparação do gráfico da t-Student com a normal padrão

4.2. Nota histórica

William S. Gosset desenvolveu a distribuição t enquanto trabalhava na indústria de cervejas Guinness, em Dublin, na Irlanda. Gosset publicou suas descobertas usando o pseudônimo de Student. A distribuição t às vezes é chamada de distribuição t de Student ou distribuição t-Student.

foto de William S. Gosset - o "Student"

4.3. A tabela da distribuição t-Student

Na tabela t de Student, ou t-Student, além dos graus de liberdade, você deverá procurar a coluna correspondente a p, conforme ilustra a figura seguinte:

valor de p no gráfico da distribuição t-student

A soma das duas caudas da curva é igual ao valor de p.

Ou seja, o nível de confiança ɣ corresponde ao valor 1 – p.

Tabela t-Student

A seguir, um exemplo de tabela t-Student. Essa tabela chega a 120 graus de liberdade. Outras tabelas podem possuir outros valores como algo em torno de 30 ou 40. Os valores de p também podem variar de tabela para tabela.

tabela t-student

Assista a vídeo aula sobre o conteúdo acima no YouTube e baixe os slides da aula em PDF

Clique aqui para assistir a vídeo aula

Como usar a tabela da distribuição t-Student

Clique aqui para fazer o download

Baixe os slides da vídeo aula gratuitamente em formato PDF.

Exemplo 5

A amostra 9, 8, 12, 7, 9, 6, 11, 6, 10, 9 foi extraída de uma população Normal. Construa um intervalo de confiança para a média ao nível de 95%.

Resolução

Inicialmente, utilizando as fórmulas da Estatística Descritiva, devemos calcular a média e o desvio padrão dessa amostra.

exemplo 5 - cálculo da média e do desvio padrão

Os graus de liberdade da distribuição são: g.l.= n–1 = 10–1 = 9.

Para usarmos a tabela, devemos observar a coluna correspondente a p=5% (pois 100% – 95% = 5%):

exemplo 5 - tabela t-student

Logo, o valor crítico procurado é tc=2,262. Substituindo na fórmula temos:

exemplo 5 - cálculo do intervalo de confiança

Assim, calculando o limite inferior e superior do intervalo, obtemos:

IC = [7,27 ; 10,13], que é o intervalo que contém a verdadeira média (populacional) com 95% de confiança.

Assista a vídeo aula sobre o conteúdo acima no YouTube e baixe os slides da aula em PDF

Clique aqui para assistir a vídeo aula

Resolução do Exemplo 5

Clique aqui para fazer o download

Baixe os slides da vídeo aula gratuitamente em formato PDF.

Exemplo 6

Você seleciona aleatoriamente 20 instituições que realizam financiamento para compra da casa própria e determina o atual índice de juros do financiamento em cada uma delas. A média da amostra dos juros é de 6,22%, com desvio padrão de 0,42%. Encontre o intervalo de confiança de 99% para a média populacional do índice de juros do financiamento. Assuma que os índices de juros são aproximadamente normalmente distribuídos.

Resolução

Inicialmente, podemos verificar, a partir do enunciado, que a média amostral (x barra) é 6,22 e s=0,42. Sendo n=20 temos g.l.=20–1=19.

Observando a tabela t para g.l.=19 e p=1%, encontramos tc=2,861. Aplicando a fórmula:

exemplo 6 - cálculo do intervalo de confiança

Logo: IC = [5,95 ; 6,49].

Interpretação: com 99% de confiança, podemos dizer que a média populacional do índice de juros do financiamento está entre 5,95% e 6,49%.

Assista a vídeo aula sobre o conteúdo acima no YouTube e baixe os slides da aula em PDF

Clique aqui para assistir a vídeo aula

Resolução do Exemplo 6

Clique aqui para fazer o download

Baixe os slides da vídeo aula gratuitamente em formato PDF.

5. Intervalo de Confiança para a Proporção Populacional

Agora, queremos construir um intervalo de confiança para a proporção populacional p. Lembrando que a estimativa pontual de p é dada pela proporção de sucessos em uma amostra e é denotada por (na fórmula, lê-se "p chapéu"):

fórmula da proporção amostral (p chapéu)

E, ainda,

fórmula do q chapéu

que é a proporção amostral de fracassos.

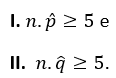
Antes de construir um intervalo para a proporção, devemos verificar se a distribuição de amostragem de p (no caso, p chapéu) pode ser aproximada pela distribuição Normal. Isso ocorrerá se forem satisfeitas as condições:

condições para intervalo de confiança para a proporção

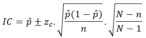
Se essas duas condições ocorrerem, podemos construir o intervalo de confiança para a proporção, que utilizará, para a determinação do valor crítico, a tabela da Normal. As fórmulas dos intervalos de confiança para a proporção são:

Populações infinitas:

fórmula do intervalo de confiança para proporções

Populações finitas:

fórmula do intervalo de confiança para proporções com população finita

Lembre–se: uma população é considerada finita quando

condição para uma população finita

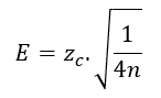
Importante: quando não possuímos uma estimativa prévia do valor de "p chapéu" (proposrção amostral) utilizamos uma abordagem conservadora para o cálculo do intervalo de confiança, baseada no fato de que a expressão p(1–p) possui valor máximo igual a ¼ quando 0 ≤ p ≤ 1. Você pode verificar isso construindo o gráfico da função p(1–p) e achando o seu valor máximo no intervalo [0;1].  Neste caso, a margem de erro é:

fórmula do erro para proporções em abordagem conservadora

Assista a vídeo aula sobre o conteúdo acima no YouTube e baixe os slides da aula em PDF

Clique aqui para assistir a vídeo aula

Intervalos de confiança para a proporção

Clique aqui para fazer o download

Baixe os slides da vídeo aula gratuitamente em formato PDF.

Exemplo 7

Pretende–se estimar a proporção de cura, através do uso de um certo medicamento em doentes contaminados com cercaria, que é uma das formas do verme da esquistossomose. Um experimento consistiu em aplicar o medicamento em 200 pacientes, escolhidos ao acaso, e observar que 160 deles foram curados. O que podemos dizer da proporção da população em geral para um nível de confiança de 95%?

Resolução

Inicialmente, vamos calcular a proporção amostral:

exemplo 7 - proporção amostral

Utilizando a tabela da Normal, obtemos o valor crítico para 95% de confiança: zc=1,96.

Aplicando a fórmula:

exemplo 7 - intervalo de confiança

Logo, o intervalo de confiança é: IC = [0,745 ; 0,855].

Assista a vídeo aula sobre o conteúdo acima no YouTube e baixe os slides da aula em PDF

Clique aqui para assistir a vídeo aula

Resolução do Exemplo 7

Clique aqui para fazer o download

Baixe os slides da vídeo aula gratuitamente em formato PDF.

Exemplo 8

O gráfico a seguir foi feito com base em uma pesquisa entre 900 norte–americanos adultos. Construa um intervalo de 99% de confiança para a população de adultos que acham que os adolescentes são os motoristas mais perigosos.

exemplo 8 - diagrama

Resolução

A partir do gráfico temos que

exemplo 8 - proporção amostral

Na tabela da Normal, devemos buscar uma probabilidade compreendida entre 0 e zc igual a 0,495. Perceba que esse valor não existe na tabela, porém, ele é o ponto médio dos valores 0,4949 correspondendo a zc=2,57 e 0,4951 correspondendo a zc=2,58. Pelo fato de essa probabilidade ser o ponto médio das probabilidades encontradas, trabalharemos, para uma melhor aproximação, com o ponto médio dos valores críticos da tabela, ou seja:

exemplo 8 - z crítico

Então:

exemplo 8 - intervalo de confiança para a proporção

O intervalo de confiança é: IC=[0,589 ; 0,671].

Interpretação: com 99% de confiança, a proporção de adultos que acham que os adolescentes são os motoristas mais perigosos está entre 58,9% e 67,1%.

Assista a vídeo aula sobre o conteúdo acima no YouTube e baixe os slides da aula em PDF

Clique aqui para assistir a vídeo aula

Resolução do Exemplo 8

Clique aqui para fazer o download

Baixe os slides da vídeo aula gratuitamente em formato PDF.

Exemplo 9

Você está analisando uma campanha política e quer estimar, com 95% de confiança, a proporção dos eleitores que irão votar em um determinado candidato. Sua estimativa deve ter uma margem de erro de 3% da população real. Encontre o número mínimo da amostra necessária se:

a) não há nenhuma estimativa prévia;

b) há uma estimativa prévia de

exemplo 9 - proporção amostral

c) compare os resultados obtidos.

Resolução

a) Não havendo nenhuma estimativa de "p chapéu", trabalharemos com a abordagem mais conservadora:

exemplo 9 - cálculo do tamanho da amostra usando abordagem conservadora

Logo, temos que o tamanho mínimo da amostra é de 1068 eleitores.

b) Como temos a estimativa de "p chapéu" que é 0,31, fazemos:

Portanto, o tamanho mínimo da amostra, neste caso, é de 914 eleitores.

c) Sem nenhuma estimativa prévia, o tamanho mínimo da amostra é de 1068 eleitores. Havendo a estimativa prévia, o tamanho da amostra necessária passa a ser de 914 eleitores. Isso ocorre por que na falta de uma estimativa prévia, maximizamos o valor de p(1–p), fazendo com que o tamanho da amostra aumente.

Assista a vídeo aula sobre o conteúdo acima no YouTube e baixe os slides da aula em PDF

Clique aqui para assistir a vídeo aula

Resolução do Exemplo 9

Clique aqui para fazer o download

Baixe os slides da vídeo aula gratuitamente em formato PDF.

6. Intervalo de Confiança para a Variância e Desvio Padrão

Para construirmos intervalos para a variância e desvio padrão, devemos lembrar que a estimativa pontual para σ² é s² e que a estimativa pontual para σ é s. Além disso, devemos trabalhar com uma outra distribuição que não a Normal nem a t-Student: usamos a qui-quadrado.

6.1. A distribuição qui-quadrado

A distribuição qui-quadrado (representa-se por χ²) é uma família de curvas, cada uma determinada pelos graus de liberdade. Para formar um intervalo de confiança para , usa-se a distribuição χ² com graus de liberdade iguais a um a menos do que o tamanho da amostra, ou seja, g.l. = n – 1 .

Além disso, a área abaixo da curva da distribuição χ² é igual a 1 e as distribuições qui-quadrado são assimétricas positivas. A distribuição qui-quadrado é utilizada quando estamos analisando a variância de uma amostra quando essa amostra é proveniente de uma população normalmente distribuída.

Abaixo, temos os gráficos de algumas distribuições qui-quadrado segundo os graus de liberdade:

gráficos da distribuição qui-quadrado

6.2. A tabela da distribuição qui-quadrado

Para a construção de intervalos de confiança para a variância e o desvio padrão, devemos obter dois valores na tabela da qui-quadrado, que chamaremos de χ²inf  e χ²sup . Note que a tabela nos fornece a área à direita do valor observado.

tabela da distribuição qui-quadrado

Assista a vídeo aula sobre o conteúdo acima no YouTube e baixe os slides da aula em PDF

Clique aqui para assistir a vídeo aula

Como utilizar a tabela da distribuição Qui-Quadrado

Clique aqui para fazer o download

Baixe os slides da vídeo aula gratuitamente em formato PDF.

Exemplo 10

Vamos encontrar os valores críticos χ²inf  e χ²sup para um intervalo de confiança de 90%, quando o tamanho da amostra for igual a 20.

Resolução

Os graus de liberdade são: g.l. = n – 1 = 20 – 1 = 19.

Para um intervalo de 90%, teremos uma área de 5% à esquerda de χ²inf e de 5% à direita de χ²sup. Mas, para utilizarmos a tabela, devemos pensar em valores à direita e, portanto, temos de 95% à direita de χ²inf e 5% à direita de χ²sup, conforme ilustra a figura:

exemplo 10 - tabela da distribuição qui-quadrado exemplo 10 - gráfico da qui-quadrado

Assista a vídeo aula sobre o conteúdo acima no YouTube e baixe os slides da aula em PDF

Clique aqui para assistir a vídeo aula

Resolução do Exemplo 10

Clique aqui para fazer o download

Baixe os slides da vídeo aula gratuitamente em formato PDF.

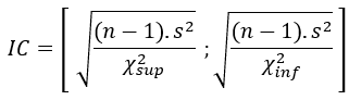
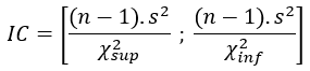
6.3. Intervalo de confiança para a Variância

A fórmula do intervalo de confiança para a variância é dada a seguir. Note que o valor de qui-quadrado superior está no termo da esquerda e o valor de qui-quadrado inferior está no termo da direita. Isso está correto!

fórmula do intervalo de confiança para a variância

6.4. Intervalo de confiança para o Desvio Padrão

A fórmula do intervalo de confiança para o desvio padrão é:

fórmula do intervalo de confiança para o desvio padrão

Tabela da Qui-Quadrado

Clique no botão abaixo para abrir a tabela da Qui-Quadrado em uma nova janela.

Ver tabela da QUI-QUADRADO  

Assista a vídeo aula sobre o conteúdo acima no YouTube e baixe os slides da aula em PDF

Clique aqui para assistir a vídeo aula

Intervalo de confiança para a variância e para o desvio padrão

Clique aqui para fazer o download

Baixe os slides da vídeo aula gratuitamente em formato PDF.

Exemplo 11

Um farmacêutico seleciona aleatoriamente 30 amostras de um antialérgico e as pesa. O desvio padrão da amostra é 1,20 miligramas. Supondo que os pesos são normalmente distribuídos, construa um intervalo de confiança de 99% para a variância e o desvio padrão da população.

Resolução

Devemos considerar uma área à direita de χ²inf igual a 0,995 e uma área à direita de χ²sup igual a 0,005. Para g.l. = n – 1 = 30 – 1 = 29, os valores críticos obtidos na tabela são: χ²inf = 13,121 e χ²sup = 52,336.

O intervalo para a variância é:

exemplo 11 - intervalo de confiança para a variância

O intervalo para o desvio padrão é:

exemplo 11 - intervalo de confiança para o desvio padrão

Assim, podemos dizer com 99% de confiança que a variância populacional está entre 0,80 e 3,18 miligramas², enquanto que o desvio padrão fica entre 0,89 e 1,78 miligramas.

Assista a vídeo aula sobre o conteúdo acima no YouTube e baixe os slides da aula em PDF

Clique aqui para assistir a vídeo aula

Resolução do Exemplo 11

Clique aqui para fazer o download

Baixe os slides da vídeo aula gratuitamente em formato PDF.

7. Lista de Exercícios

1) Em um teste com um tipo de fusível, 9 peças foram analisadas. O tempo médio até queimar dessa amostra foi 19,2 minutos, com desvio-padrão populacional conhecido 2,4 minutos. Sabe-se que a população é Normal ou Gaussiana. Calcule o intervalo de confiança de 95% para a verdadeira média da população.


2) Os pulsos em repouso de 920 pessoas sadias foram tomados, e uma média de 72,9 batidas por minuto (bpm) e uma variância de 121,0 bpm2 foram obtidos. Construa um intervalo de confiança de 96% para a pulsação média em repouso de pessoas sadias com base nesses dados.


3) Os QIs de 181 meninos com idades entre 6-7 anos de Curitiba foram medidos. O QI médio foi 108,08, e o desvio padrão foi 14,38.

a) Calcule um intervalo de confiança de 95% para o QI médio populacional dos meninos entre 6-7 anos de idade em Curitiba usando estes dados.

b) Interprete o intervalo de confiança com palavras.


4) Seleciona-se uma amostra de 200 pixels da região A de uma imagem, chegando-se a uma média e variância amostrais de 187,3 e 53,1 respectivamente. Construa o intervalo de confiança de 97% para a média populacional.


5) O consumo de combustível é uma variável aleatória com parâmetros dependendo do tipo de veículo. Suponha que para um certo automóvel A, o desvio padrão do consumo seja 2 km/l, enquanto que para um automóvel B, o desvio padrão é de 3 km/l. A partir de uma amostra de 40 veículos do tipo A e 36 veículos do tipo B, verificamos que o consumo médio de cada veículo foi de 9,3 km/l para o tipo A e de 11,2 km/l para o B. Ao nível de 95% pode-se afirmar que o veículo B é mais econômico?

6) Num grupo de pacientes, o nível de colesterol é uma variável aleatória com distribuição Normal com variância 64 (mg/ml)2. Para uma amostra de 46 indivíduos que forneceu nível médio de colesterol de 120 mg/ml, construa o intervalo de confiança de 88%.


7) Da experiência passada, sabe-se que o desvio padrão da altura de crianças da 5ª série é 5 cm. Colhendo uma amostra de 36 dessas crianças, observou-se a média de 150cm. Qual o intervalo de confiança de 95% para a média populacional? Interprete.


8) Um pesquisador está estudando a resistência de um determinado material sob determinadas condições. Ele sabe que essa variável é normalmente distribuída com desvio padrão de 2 unidades. Utilizando os valores 4,9 ; 7,0 ; 8,1 ; 4,5 ; 5,6 ; 6,8 ; 7,2 ; 5,7 ; 6,2 unidades, obtidos de uma amostra de tamanho 9, determine o intervalo de confiança para a resistência média com uma confiança de 90%.


9) Em uma empresa de vendas, as comissões de uma amostra de 130 vendedores são apresentadas na tabela a seguir:

Comissões (R$)

fi

300 ├  500

10

500 ├  700

30

700 ├  900

50

900 ├  1100

40

Construa um intervalo de confiança de 95% para o verdadeiro salário médio dos vendedores dessa empresa.

10) Foram retiradas 25 peças da produção diária de uma máquina, encontrando–se para uma determinada medida uma média de 5,2 mm. Sabendo que as medidas tem distribuição Normal com desvio padrão populacional de 1,2 mm, construir intervalos de confiança para a média aos níveis de 90%, 95% e 99%.


11) A partir de uma amostra de 10 indivíduos, mediu–se o tempo que demoravam para a execução de certa tarefa. Essa amostra nos revelou que o tempo médio gasto foi de 110 segundos com desvio padrão de 10 segundos. Construa um intervalo com 95% de confiança para a média populacional. Qual hipótese devemos admitir quanto à distribuição de probabilidade da população?


12) Em quatro leituras experimentais de um comercial de 30 segundos, um locutor levou em média 29,2 segundos com uma variância de 5,76 segundos ao quadrado. Construa um intervalo de confiança para o tempo médio com 95% de confiabilidade.


13) Determine o tamanho mínimo da amostra necessário para se estar 95% confiante de que a média amostral esteja a uma unidade da média populacional dado que o desvio padrão populacional é 4,8. Assuma que a população é normalmente distribuída.


14) Uma amostra aleatória de 400 domicílios mostra–nos que 25% deles são casas de aluguel. Construa um intervalo de confiança para a proporção de casas de aluguel com um nível de confiança de 98%.


15) Em 50 lances de uma moeda, foram obtidas 30 caras. Com base em um intervalo de confiança de 96%, pode–se dizer que a moeda é honesta?

16) Para verificar se um dado era viciado, jogou–se o mesmo 120 vezes, obtendo–se 25 vezes o número cinco. Determinar um intervalo de confiança de 99% para a proporção de números cinco. Pode–se dizer que o dado é viciado?


17) Suponha que as alturas dos alunos de uma faculdade tenham distribuição normal com desvio padrão de 15 cm. Foi retirada uma amostra aleatória de 100 alunos, obtendo–se uma média de 175 cm. Construir, ao nível de 95%, o intervalo para a verdadeira altura média dos alunos.


18) Uma máquina corta plástico em folhas que tem 50 pés de comprimento (600 polegadas). Assuma que a população dos comprimentos é normalmente distribuída.

a) A empresa quer estimar o comprimento médio que a máquina está cortando dentro de 0,125 polegada. Determine o tamanho mínimo da amostra necessário para construir um intervalo de confiança de 95% para a média populacional. Assuma o desvio padrão da população como sendo 0,25 polegada.

b) Repita o item anterior usando uma tolerância de erro de 0,0625 polegada.

c) Compare os itens a e b.


19) Uma amostra aleatória de 200 habitantes de uma cidade mostrou que 180 desejavam água fluorada. Encontrar os limites de confiança de 90% para a proporção da população favorável à fluoração.


20) Uma amostra de 25 observações de uma Normal (,16) foi coletada e forneceu uma média amostral de 8. Construa um intervalo com confiança 90% e 95% para a média populacional. Comente as diferenças encontradas.

21) Construa um intervalo de confiança para a média, ao nível de 95%, admitindo a seguinte distribuição amostral, oriunda de uma população normalmente distribuída:

Classes

0 |– 5

5 |– 10

10 |– 15

15 |– 20

fi

2

3

5

2


22) Suponha que a variável escolhida em um estudo seja o peso de certa peça e que a população seja infinita. Pelas especificações do produto, o desvio padrão é de 10kg. Logo, admitindo um nível de confiança de 95% e um erro amostral de 1,5kg, determine o tamanho da amostra necessária.


23) Será coletada uma amostra de uma população Normal com desvio padrão igual a 9. Para uma confiança de 90%, determine a amplitude do intervalo de confiança para a média populacional nos casos em que o tamanho da amostra é 30, 50 ou 100. Comente as diferenças.


24) Suponha que uma amostra aleatória de 10 observações aponte s2=2,25. Quais os limites de confiança, a 80%, para a verdadeira variância? Qual foi a hipótese admitida para a distribuição de probabilidade da população?


25) Supondo uma população Normal, obteve-se a seguinte amostra:

44,9 – 44,1 – 43 – 42,9 – 43,2 – 44,5. Construa um intervalo de confiança, ao nível de 90%:

a) para a média;

b) para a variância.


26) O tempo de espera, em minutos, na fila de um banco segue uma distribuição Normal. Uma amostra de 22 pessoas foi obtida aleatoriamente e verificou-se que o desvio padrão dessa amostra foi de 3,6 minutos. Construa um intervalo de confiança para a variância e para o desvio padrão ao nível de 98% de confiança.


27) Um fabricante de máquinas para cortar grama está tentando determinar o desvio padrão da vida de um de seus modelos de máquinas. Para fazê-lo, ele seleciona aleatoriamente 12 máquinas que foram vendidas anos atrás e descobre que o desvio padrão da amostra é 3,25 anos. Construa um intervalo de confiança para o desvio padrão ao nível de 99% de confiança.

Tabela da Normal Padrão

Clique no botão abaixo para abrir a tabela da Normal Padrão em uma nova janela.

Ver tabela da normal padrão  

Tabela da t-Student

Clique no botão abaixo para abrir a tabela da t-Student em uma nova janela.

Ver tabela da t-student  

Tabela da Qui-Quadrado

Clique no botão abaixo para abrir a tabela da Qui-Quadrado em uma nova janela.

Ver tabela da QUI-QUADRADO  

Respostas dos Exercícios

1) IC = [17,6 ; 20,8]

2) IC = [72,2 ; 73,6]

3) a) IC = [105,99 ; 110,17]

b) Com uma confiança de 95%, a verdadeira média de QIs populacional de meninos entre 6 e 7 anos de idade que residem em Curitiba encontra-se no intervalo [105,99 ; 110,17], ou ainda, se fossem retiradas 100 amostras de meninos e calculadas as médias de seus QIs, em 95 delas a média estaria dentro do intervalo apresentado.

4) IC = [186,2 ; 188,4]

5) Como ICA = [8,7 ; 9,9] e ICB = [10,2 ; 12,2], ou seja, não há uma intersecção entre os dois intervalos; ao nível de 95% podemos afirmar que o automóvel B é mais econômico que o A (empate técnico).

6) IC = [118,2 ; 121,8]

7) IC = [148,4 ; 151,6]. Esse IC indica que com 95% de confiança a verdadeira média das alturas de crianças de 5ª série está compreendida entre 148,4 cm e 151,6 cm. De outra maneira, podemos dizer que se fossem retiradas 100 amostras de tamanho 36 dessas crianças e calculadas as respectivas médias, em 95 amostras a média estaria dentro do intervalo [148,4 ; 151,6].

8) IC = [5,12 ; 7,32]

9) média = 784,62 e s = 184,04

IC = [752,98 ; 816,26]

10) Para 90%: IC = [4,8 ; 5,6]. Para 95%: IC = [4,7 ; 5,7]. Para 99%: IC = [4,6 ; 5,8].

11) IC=[102,85 ; 117,15]. Deve–se admitir a hipótese de que a distribuição de probabilidade da população seja Normal.

12) IC=[25,38 ; 33,02].

13) 89

14) IC=[20% ; 30%]

15) IC=[0,46 ; 0,74]. Logo, ao nível de 96%, pode–se dizer que a moeda é honesta, pois o IC contém a proporção de 50% de caras. Dica: p chaéu é igual a 3/5=0,6; z crítico vale 2,05 e n=50. 

16) Não se pode dizer, ao nível de 99%, que o dado seja viciado, pois o intervalo de confiança para a proporção de números cinco contém p=1/6=0,167, sendo IC=[0,113 ; 0,303]. Dica: p chaéu é igual a 25/120=0,208; z crítico vale 2,575 e n=120. 

17) IC=[172,06cm ; 177,94cm].

18) a) 16 folhas.

b) 62 folhas.

c) E=0,0625 requer um tamanho de amostra maior. Conforme o tamanho do erro decresce, uma amostra maior tem que ser retirada para obter informação suficiente a partir da população para assegurar a correção desejada.

19) IC=[0,865; 0,935].

20) Para 90%: IC=[6,684 ; 9,316]. Para 95%: IC=[6,432 ; 9,568]. Quanto maior for a confiança, maior será o tamanho do intervalo.

21) IC=[7,26 ; 13,58].

22) 171 peças.

23) Com n=30, a amplitude é 5,40; para n=50 é 4,19 e para n=100 a amplitude é 2,96; quanto maior for o n, menor será a amplitude. Nos cálculos, usou–se zc=1,645.

24) IC=[1,38 ; 4,86]. Admite-se que a distribuição de probabilidade da população seja Normal.

25) média = 43,77; desvio padrão amostral = 0,85; graus de liberdade = 5

a) [43,07 ; 44,47]

b) [0,32 ; 3,14]

26) Variância: IC=[6,96 ; 30,59]. Desvio padrão: IC=[2,64 ; 5,53].

27) IC=[2,08 ; 6,68].

DOWNLOAD
Apostila sobre Intervalos de Confiança

Faça o download gratuito da apostila sobre ​Intervalos de Confiança em formato PDF.

 Baixe Agora

 Você também pode se interessar por:

Distribuição Normal 

Conceitos e propriedades da distribuição Normal, padronização, distribuição Normal Padrão, tabela da Normal Padrão, exemplos resolvidos e lista de exercícios

Testes de Hipóteses - Conceitos Gerais

Formulação da hipótese nula e da hipótese alternativa, nível de significância, nível descritivo e passo-a-passo para realizar um teste de hipóteses

Testes de Hipóteses para 1 população

Teste de hipóteses para a média e para a proporção quando temos apenas uma população. Fórmulas, resolução passo-a-passo e lista de exercícios.